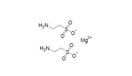
- Product Name
- CasNo
- MF
- MW
- Content
- Appearance
- Packing
- Apply
- Magnesium Taurate
- 334824-43-0
- C4H12MgN2O6S2
- 272.58
- 98.0 %
- White fine grained powder
- 1kg/bag;25kg/drum
- Dietary supplement material
Your Location:Home > Magnesium Taurate










Product introduction
Magnesium is an important mineral that plays a vital role in many body functions, including nerve function, muscle contraction, and energy production. It is involved in over 300 enzymatic reactions in our bodies, making it an integral part of our overall health and well-being. So, what is magnesium taurate? Magnesium Taurate is a combination of magnesium and the amino acid taurine. Taurine is known for its powerful antioxidant properties and ability to support cardiovascular health. When combined with magnesium, taurine enhances the absorption and utilization of magnesium in the body. One of the main benefits of magnesium taurate is its support for cardiovascular health. Research shows that magnesium and taurine work synergistically to maintain normal blood pressure levels. Additionally, magnesium taurate helps relax and dilate blood vessels, promoting optimal blood flow. Additionally, magnesium plays a vital role in regulating brain neurotransmitters, including serotonin, which is often referred to as the "feel-good" hormone. Taurine acts as a neurotransmitter modulator, enhancing the release and absorption of neurotransmitters in the brain. This combined effect of magnesium and taurine can help relieve anxiety, mood disorders, and more. Research shows that people with low magnesium levels are more likely to experience mood disorders and that magnesium taurine supplementation can improve emotional health. Feature
(1) High purity: Magnesium Taurate can obtain high-purity products through natural extraction and refining production processes. High purity means better bioavailability and fewer adverse reactions.
(2) Safety: High safety, few adverse reactions, no obvious adverse reactions even with long-term use.
(3) Stability: Magnesium Taurate has good stability and can maintain its activity and effect under different environments and storage conditions.
(4) Easy to 🦩absorb: Magnesium Taurate can be quickly absorbed by the human body and distributed to different tissues and organs.
Applications
Magnesium taurate, commonly taken as a dietary supplement, helps maintain healthy blood sugar levels and improve insulin sensitivity. It also supports bone health by enhancing calcium absorption and assimilation, reducing the risk of osteoporosis and fractures.Additionally, it promotes healthy sleep patterns and may help people suffering from insomnia or sleep disorders. When considering magnesium supplementation, it is important to choose the correct form of magnesium to ensure optimal absorption and utilization. Magnesium taurate has high bioavailability, which means it is easily absorbed and utilized by the body. Unlike other forms of magnesium, such as magnesium oxide, which can cause digestive disorders, magnesium taurate is gentle on the stomach and is well tolerated by most people.

♈ WANT TO PURCHASE I 我(wo)会推(tui)销(ꩵxiao)自己

zoom乌鸦 蔡依林帮唱吴青峰 沁源火灾全部扑灭 长生疫苗被注销 勇士战胜湖人 FF收到九城资金 塔利斯卡梅开二度 李汶翰C位出道 贾玲回应口红色号 曝文咏珊十月结婚 ESPN预测六大奖项 林宥嘉被曝出走 马思纯晒18岁照 消防收神秘礼物 南京2.8级地震 李连杰抵港捐款 权游最终季首映礼 京东副总裁朋友圈 谢娜为陈乔恩庆生 保罗超远三分 赵志伟方否认恋情 微信漂流瓶下线 青春有你总决赛 韩国发生森林大火 王源名誉权案胜诉 曝紫辉创投CEO骗婚 面包车翻下公路 河南建业抗议函 布兰妮 精神治疗 雄鹿锁定联盟第一 波音削减737产量 马龙战胜丹羽孝希 女足逆转俄罗斯 陈道明濮存昕同框 高云翔风波后发声 全球首富离婚 陈百强父亲去世 JDG 四强 卓尔主帅致歉 重庆绝杀上港 13年快男重聚 UNINE成团 郭采洁点赞郭敬明 SDG赢了EDG 字母哥帽恩比德 电子烟或能诱发癫痫 辱骂凉山男子致歉 广州地铁站外安检 周冬雨被曝恋情 沈梦辰敷面膜洗头 赵立新被点名批评 中国13个新职业 微信漂流瓶下线 林宥嘉被曝出走 布兰妮 精神治疗 高云翔董璇被起诉 高云翔风波后发声 保罗超远三分 多抽熊猫血 谣言 三部门约谈马蜂窝 波波维奇被驱逐 李若彤不懂古彤cp 叶童出演许仙母亲 杨宗纬怒怼男主播 刘梦洁被撤销学位 微信表情商店暂停 库里戴隐形眼镜 郭采洁点赞郭敬明 陈道明濮存昕同框 谢娜为陈乔恩庆生 林丹逆转晋级 柯南令和福尔摩斯 王菊蕾哈娜合影 鸟撞导致埃航空难 王源名誉权案胜诉 李志四川巡演取消 古力娜扎新发型 赵志伟方否认恋情 环卫工配智能手表 何洁三胎后首现身 两代张无忌同框 圣彼得堡军校爆炸 向佐郭碧婷见干爹 西昌4月4日哀悼日 赵立新发不当言论 京藏高速事故 火箭vs快船 辱华主持人辞职 抽检6000篇论文 美国航空系统瘫痪 西昌市降半旗志哀 央视女主播家产案 章子怡吐槽女儿 吴秀波近照曝光 美2033年登陆火星 故宫天灯复原品 纽约市拟征拥堵费 皇马不敌瓦伦西亚 英超第二支降级队 公务员可提前退休 赵立新被点名批评 两代张无忌同框 中国13个新职业 吴秀波近照曝光 刘梦洁被撤销学位 百度丘比特上线 王菲谢霆锋合体 赵立新发不当言论 叶童出演许仙母亲 凉山火灾全部扑灭 翟天临辛芷蕾 瑞幸抵押咖啡机 梁静茹在线打假 云南在建隧道爆炸 凉山火灾30名遇难 向佐郭碧婷见干爹 杨宗纬怒怼男主播 美国航空系统瘫痪 三部门约谈马蜂窝 全球第一创投人 辱华主持人辞职 孙杨1500米夺冠 毛晓彤遭生父监视 比特币暴涨 王菊蕾哈娜合影 牺牲消防员朋友圈 圣彼得堡军校爆炸 ofo否认破产传闻 张国荣逝世16周年 日本现新年号令和 央视女主播家产案 苹果回应中国降价 地球熄灯一小时 都挺好屋主住院 微信漂流瓶下线 归化球员唱国歌 人大放8天春假 格力筹划股权转让 故宫天灯复原品 凉山火灾牺牲名单 英超第二支降级队 阿信骗粉丝有孩子 全球最会赚钱公司 韩火火偶遇吴世勋 保姆纵火案和解 权游最终季首映礼 公务员可提前退休 章子怡吐槽女儿 美2033年登陆火星 梅西补时连造两球 中国13个新职业 微信漂流瓶下线 多抽熊猫血 谣言 三部门约谈马蜂窝 微信表情商店暂停 鸟撞导致埃航空难 环卫工配智能手表 圣彼得堡军校爆炸 西昌4月4日哀悼日 京藏高速事故 辱华主持人辞职 抽检6000篇论文 美国航空系统瘫痪 西昌市降半旗志哀 央视女主播家产案 美2033年登陆火星 故宫天灯复原品 纽约市拟征拥堵费 公务员可提前退休 凉山火灾全部扑灭 百度丘比特上线 凉山火灾30名遇难 英雄遗体运抵西昌 云南在建隧道爆炸 救火英雄生前影像 瑞幸抵押咖啡机 清明节放假通知 保姆纵火案和解 牺牲消防员朋友圈 地球熄灯一小时 日本现新年号令和 苹果回应中国降价 网上祭英烈 五一放假安排 中本聪 凉山火灾牺牲名单 芝加哥首位女市长 社保 一带一路 上海公积金 中央巡视组 市民悼念扑火英雄 中国注册会计师协会 研究生招生信息网 劳动合同法 新加坡航空停飞 基金业协会 人民币兑美元 扑火队员申评烈士 高速免费 赵立新被点名批评 林宥嘉被曝出走 布兰妮 精神治疗 高云翔董璇被起诉 高云翔风波后发声 李若彤不懂古彤cp 叶童出演许仙母亲 杨宗纬怒怼男主播 刘梦洁被撤销学位 郭采洁点赞郭敬明 陈道明濮存昕同框 谢娜为陈乔恩庆生 柯南令和福尔摩斯 王菊蕾哈娜合影 王源名誉权案胜诉 李志四川巡演取消 古力娜扎新发型 赵志伟方否认恋情 何洁三胎后首现身 两代张无忌同框 向佐郭碧婷见干爹 赵立新发不当言论 央视女主播家产案 章子怡吐槽女儿 吴秀波近照曝光 梁静茹在线打假 王菲谢霆锋合体 翟天临辛芷蕾 都挺好屋主住院 毛晓彤遭生父监视 妻子的浪漫旅行 张国荣逝世16周年 韩火火偶遇吴世勋 新倚天屠龙记 袁立婚房疑曝光 黄晓明名誉案胜诉 阿信骗粉丝有孩子 ig冠军皮肤 腾格尔化妆水洗头 王源否认走后门 密室大逃脱 华晨宇前女友 妻子的浪漫旅行2 比伯为玩笑道歉 阿亮小水同框 生化危机2重制版 林志杰落泪 中国大妈 最帅快递小哥 林峯否认签约tvb 保罗超远三分 波波维奇被驱逐 库里戴隐形眼镜 林丹逆转晋级 火箭vs快船 皇马不敌瓦伦西亚 英超第二支降级队 威少超级三双 梅西补时连造两球 曼城重回榜首 孙杨1500米夺冠 武磊获杰出人物奖 欧冠 ig冠军皮肤 英超 cba季后赛 cba直播 波波维奇 归化球员唱国歌 冯潇霆回应被嘘 北京国安 考辛斯驱逐出场 林志杰落泪 巴萨vs西班牙人 西班牙人 英超积分榜 西甲积分榜 欧冠赛程 奥尼尔 nba季后赛 西甲 斯诺克中国公开赛 曼联1-2狼队 孙杨四项全部夺冠 梅西约战武磊 ncaa nba历史得分榜 意甲积分榜 英超直播 亚冠 西甲直播 中超 郑开马拉松 中国女足 冬奥会 火箭直播 塞维利亚 魔术大胜鹈鹕 李慕豪 母其弥雅 JDG 四强 黎姿与郭富城同框 周冬雨被曝恋情 沈梦辰敷面膜洗头 重庆绝杀上港 李汶翰C位出道 高云翔风波后发声 长生疫苗被注销 UNINE成团 青春有你总决赛 卓尔主帅致歉 郭采洁点赞郭敬明 曝紫辉创投CEO骗婚 王源名誉权案胜诉 13年快男重聚 谢娜为陈乔恩庆生 字母哥帽恩比德 广州地铁站外安检 蔡依林帮唱吴青峰 赵志伟方否认恋情 ESPN预测六大奖项 塔利斯卡梅开二度 女足逆转俄罗斯 贾玲回应口红色号 河南建业抗议函 勇士战胜湖人 消防收神秘礼物 全球首富离婚 京东副总裁朋友圈 FF收到九城资金 雄鹿锁定联盟第一 韩国发生森林大火 曝文咏珊十月结婚 zoom乌鸦 微信漂流瓶下线 马龙战胜丹羽孝希 沁源火灾全部扑灭 权游最终季首映礼 林宥嘉被曝出走 布兰妮 精神治疗 南京2.8级地震 电子烟或能诱发癫痫 面包车翻下公路 保罗超远三分 陈道明濮存昕同框 波音削减737产量 李连杰抵港捐款 SDG赢了EDG 辱骂凉山男子致歉 马思纯晒18岁照 赵立新被点名批评 中国13个新职业 微信漂流瓶下线 林宥嘉被曝出走 布兰妮 精神治疗 高云翔董璇被起诉 高云翔风波后发声 保罗超远三分 多抽熊猫血 谣言 三部门约谈马蜂窝 波波维奇被驱逐 李若彤不懂古彤cp 叶童出演许仙母亲 杨宗纬怒怼男主播 刘梦洁被撤销学位 微信表情商店暂停 库里戴隐形眼镜 郭采洁点赞郭敬明 陈道明濮存昕同框 谢娜为陈乔恩庆生 林丹逆转晋级 柯南令和福尔摩斯 王菊蕾哈娜合影 鸟撞导致埃航空难 王源名誉权案胜诉 李志四川巡演取消 古力娜扎新发型 赵志伟方否认恋情 环卫工配智能手表 何洁三胎后首现身 两代张无忌同框 圣彼得堡军校爆炸 向佐郭碧婷见干爹 西昌4月4日哀悼日 赵立新发不当言论 京藏高速事故 火箭vs快船 辱华主持人辞职 抽检6000篇论文 美国航空系统瘫痪 西昌市降半旗志哀 央视女主播家产案 章子怡吐槽女儿 吴秀波近照曝光 美2033年登陆火星 故宫天灯复原品 纽约市拟征拥堵费 皇马不敌瓦伦西亚 英超第二支降级队 公务员可提前退休 赵立新被点名批评 两代张无忌同框 中国13个新职业 吴秀波近照曝光 刘梦洁被撤销学位 百度丘比特上线 王菲谢霆锋合体 赵立新发不当言论 叶童出演许仙母亲 凉山火灾全部扑灭 翟天临辛芷蕾 瑞幸抵押咖啡机 梁静茹在线打假 云南在建隧道爆炸 凉山火灾30名遇难 向佐郭碧婷见干爹 杨宗纬怒怼男主播 美国航空系统瘫痪 三部门约谈马蜂窝 全球第一创投人 辱华主持人辞职 孙杨1500米夺冠 毛晓彤遭生父监视 比特币暴涨 王菊蕾哈娜合影 牺牲消防员朋友圈 圣彼得堡军校爆炸 ofo否认破产传闻 张国荣逝世16周年 日本现新年号令和 央视女主播家产案 苹果回应中国降价 地球熄灯一小时 都挺好屋主住院 微信漂流瓶下线 归化球员唱国歌 人大放8天春假 格力筹划股权转让 故宫天灯复原品 凉山火灾牺牲名单 英超第二支降级队 阿信骗粉丝有孩子 全球最会赚钱公司 韩火火偶遇吴世勋 保姆纵火案和解 权游最终季首映礼 公务员可提前退休 章子怡吐槽女儿 美2033年登陆火星 梅西补时连造两球 中国13个新职业 微信漂流瓶下线 多抽熊猫血 谣言 三部门约谈马蜂窝 微信表情商店暂停 鸟撞导致埃航空难 环卫工配智能手表 圣彼得堡军校爆炸 西昌4月4日哀悼日 京藏高速事故 辱华主持人辞职 抽检6000篇论文 美国航空系统瘫痪 西昌市降半旗志哀 央视女主播家产案 美2033年登陆火星 故宫天灯复原品 纽约市拟征拥堵费 公务员可提前退休 凉山火灾全部扑灭 百度丘比特上线 凉山火灾30名遇难 英雄遗体运抵西昌 云南在建隧道爆炸 救火英雄生前影像 瑞幸抵押咖啡机 清明节放假通知 保姆纵火案和解 牺牲消防员朋友圈 地球熄灯一小时 日本现新年号令和 苹果回应中国降价 网上祭英烈 五一放假安排 中本聪 凉山火灾牺牲名单 芝加哥首位女市长 社保 一带一路 上海公积金 中央巡视组 市民悼念扑火英雄 中国注册会计师协会 研究生招生信息网 劳动合同法 新加坡航空停飞 基金业协会 人民币兑美元 扑火队员申评烈士 高速免费 赵立新被点名批评 林宥嘉被曝出走 布兰妮 精神治疗 高云翔董璇被起诉 高云翔风波后发声 李若彤不懂古彤cp 叶童出演许仙母亲 杨宗纬怒怼男主播 刘梦洁被撤销学位 郭采洁点赞郭敬明 陈道明濮存昕同框 谢娜为陈乔恩庆生 柯南令和福尔摩斯 王菊蕾哈娜合影 王源名誉权案胜诉 李志四川巡演取消 古力娜扎新发型 赵志伟方否认恋情 何洁三胎后首现身 两代张无忌同框 向佐郭碧婷见干爹 赵立新发不当言论 央视女主播家产案 章子怡吐槽女儿 吴秀波近照曝光 梁静茹在线打假 王菲谢霆锋合体 翟天临辛芷蕾 都挺好屋主住院 毛晓彤遭生父监视 妻子的浪漫旅行 张国荣逝世16周年 韩火火偶遇吴世勋 新倚天屠龙记 袁立婚房疑曝光 黄晓明名誉案胜诉 阿信骗粉丝有孩子 ig冠军皮肤 腾格尔化妆水洗头 王源否认走后门 密室大逃脱 华晨宇前女友 妻子的浪漫旅行2 比伯为玩笑道歉 阿亮小水同框 生化危机2重制版 林志杰落泪 中国大妈 最帅快递小哥 林峯否认签约tvb 保罗超远三分 波波维奇被驱逐 库里戴隐形眼镜 林丹逆转晋级 火箭vs快船 皇马不敌瓦伦西亚 英超第二支降级队 威少超级三双 梅西补时连造两球 曼城重回榜首 孙杨1500米夺冠 武磊获杰出人物奖 欧冠 ig冠军皮肤 英超 cba季后赛 cba直播 波波维奇 归化球员唱国歌 冯潇霆回应被嘘 北京国安 考辛斯驱逐出场 林志杰落泪 巴萨vs西班牙人 西班牙人 英超积分榜 西甲积分榜 欧冠赛程 奥尼尔 nba季后赛 西甲 斯诺克中国公开赛 曼联1-2狼队 孙杨四项全部夺冠 梅西约战武磊 ncaa nba历史得分榜 意甲积分榜 英超直播 亚冠 西甲直播 中超 郑开马拉松 中国女足 冬奥会 火箭直播 塞维利亚 魔术大胜鹈鹕 李慕豪 母其弥雅 河南建业抗议函 沈梦辰敷面膜洗头 王源名誉权案胜诉 塔利斯卡梅开二度 长生疫苗被注销 南京2.8级地震 李汶翰C位出道 zoom乌鸦 贾玲回应口红色号 消防收神秘礼物 UNINE成团 广州地铁站外安检 高云翔风波后发声 蔡依林帮唱吴青峰 保罗超远三分 曝文咏珊十月结婚 女足逆转俄罗斯 JDG 四强 重庆绝杀上港 布兰妮 精神治疗 林宥嘉被曝出走 电子烟或能诱发癫痫 SDG赢了EDG 黎姿与郭富城同框 沁源火灾全部扑灭 韩国发生森林大火 ESPN预测六大奖项 FF收到九城资金 周冬雨被曝恋情 13年快男重聚 勇士战胜湖人 雄鹿锁定联盟第一 郭采洁点赞郭敬明 青春有你总决赛 马龙战胜丹羽孝希 全球首富离婚 权游最终季首映礼 陈道明濮存昕同框 卓尔主帅致歉 微信漂流瓶下线 曝紫辉创投CEO骗婚 面包车翻下公路 辱骂凉山男子致歉 赵志伟方否认恋情 谢娜为陈乔恩庆生 京东副总裁朋友圈 波音削减737产量 李连杰抵港捐款 马思纯晒18岁照 字母哥帽恩比德 赵立新被点名批评 中国13个新职业 微信漂流瓶下线 林宥嘉被曝出走 布兰妮 精神治疗 高云翔董璇被起诉 高云翔风波后发声 保罗超远三分 多抽熊猫血 谣言 三部门约谈马蜂窝 波波维奇被驱逐 李若彤不懂古彤cp 叶童出演许仙母亲 杨宗纬怒怼男主播 刘梦洁被撤销学位 微信表情商店暂停 库里戴隐形眼镜 郭采洁点赞郭敬明 陈道明濮存昕同框 谢娜为陈乔恩庆生 林丹逆转晋级 柯南令和福尔摩斯 王菊蕾哈娜合影 鸟撞导致埃航空难 王源名誉权案胜诉 李志四川巡演取消 古力娜扎新发型 赵志伟方否认恋情 环卫工配智能手表 何洁三胎后首现身 两代张无忌同框 圣彼得堡军校爆炸 向佐郭碧婷见干爹 西昌4月4日哀悼日 赵立新发不当言论 京藏高速事故 火箭vs快船 辱华主持人辞职 抽检6000篇论文 美国航空系统瘫痪 西昌市降半旗志哀 央视女主播家产案 章子怡吐槽女儿 吴秀波近照曝光 美2033年登陆火星 故宫天灯复原品 纽约市拟征拥堵费 皇马不敌瓦伦西亚 英超第二支降级队 公务员可提前退休 赵立新被点名批评 两代张无忌同框 中国13个新职业 吴秀波近照曝光 刘梦洁被撤销学位 百度丘比特上线 王菲谢霆锋合体 赵立新发不当言论 叶童出演许仙母亲 凉山火灾全部扑灭 翟天临辛芷蕾 瑞幸抵押咖啡机 梁静茹在线打假 云南在建隧道爆炸 凉山火灾30名遇难 向佐郭碧婷见干爹 杨宗纬怒怼男主播 美国航空系统瘫痪 三部门约谈马蜂窝 全球第一创投人 辱华主持人辞职 孙杨1500米夺冠 毛晓彤遭生父监视 比特币暴涨 王菊蕾哈娜合影 牺牲消防员朋友圈 圣彼得堡军校爆炸 ofo否认破产传闻 张国荣逝世16周年 日本现新年号令和 央视女主播家产案 苹果回应中国降价 地球熄灯一小时 都挺好屋主住院 微信漂流瓶下线 归化球员唱国歌 人大放8天春假 格力筹划股权转让 故宫天灯复原品 凉山火灾牺牲名单 英超第二支降级队 阿信骗粉丝有孩子 全球最会赚钱公司 韩火火偶遇吴世勋 保姆纵火案和解 权游最终季首映礼 公务员可提前退休 章子怡吐槽女儿 美2033年登陆火星 梅西补时连造两球 中国13个新职业 微信漂流瓶下线 多抽熊猫血 谣言 三部门约谈马蜂窝 微信表情商店暂停 鸟撞导致埃航空难 环卫工配智能手表 圣彼得堡军校爆炸 西昌4月4日哀悼日 京藏高速事故 辱华主持人辞职 抽检6000篇论文 美国航空系统瘫痪 西昌市降半旗志哀 央视女主播家产案 美2033年登陆火星 故宫天灯复原品 纽约市拟征拥堵费 公务员可提前退休 凉山火灾全部扑灭 百度丘比特上线 凉山火灾30名遇难 英雄遗体运抵西昌 云南在建隧道爆炸 救火英雄生前影像 瑞幸抵押咖啡机 清明节放假通知 保姆纵火案和解 牺牲消防员朋友圈 地球熄灯一小时 日本现新年号令和 苹果回应中国降价 网上祭英烈 五一放假安排 中本聪 凉山火灾牺牲名单 芝加哥首位女市长 社保 一带一路 上海公积金 中央巡视组 市民悼念扑火英雄 中国注册会计师协会 研究生招生信息网 劳动合同法 新加坡航空停飞 基金业协会 人民币兑美元 扑火队员申评烈士 高速免费 赵立新被点名批评 林宥嘉被曝出走 布兰妮 精神治疗 高云翔董璇被起诉 高云翔风波后发声 李若彤不懂古彤cp 叶童出演许仙母亲 杨宗纬怒怼男主播 刘梦洁被撤销学位 郭采洁点赞郭敬明 陈道明濮存昕同框 谢娜为陈乔恩庆生 柯南令和福尔摩斯 王菊蕾哈娜合影 王源名誉权案胜诉 李志四川巡演取消 古力娜扎新发型 赵志伟方否认恋情 何洁三胎后首现身 两代张无忌同框 向佐郭碧婷见干爹 赵立新发不当言论 央视女主播家产案 章子怡吐槽女儿 吴秀波近照曝光 梁静茹在线打假 王菲谢霆锋合体 翟天临辛芷蕾 都挺好屋主住院 毛晓彤遭生父监视 妻子的浪漫旅行 张国荣逝世16周年 韩火火偶遇吴世勋 新倚天屠龙记 袁立婚房疑曝光 黄晓明名誉案胜诉 阿信骗粉丝有孩子 ig冠军皮肤 腾格尔化妆水洗头 王源否认走后门 密室大逃脱 华晨宇前女友 妻子的浪漫旅行2 比伯为玩笑道歉 阿亮小水同框 生化危机2重制版 林志杰落泪 中国大妈 最帅快递小哥 林峯否认签约tvb 保罗超远三分 波波维奇被驱逐 库里戴隐形眼镜 林丹逆转晋级 火箭vs快船 皇马不敌瓦伦西亚 英超第二支降级队 威少超级三双 梅西补时连造两球 曼城重回榜首 孙杨1500米夺冠 武磊获杰出人物奖 欧冠 ig冠军皮肤 英超 cba季后赛 cba直播 波波维奇 归化球员唱国歌 冯潇霆回应被嘘 北京国安 考辛斯驱逐出场 林志杰落泪 巴萨vs西班牙人 西班牙人 英超积分榜 西甲积分榜 欧冠赛程 奥尼尔 nba季后赛 西甲 斯诺克中国公开赛 曼联1-2狼队 孙杨四项全部夺冠 梅西约战武磊 ncaa nba历史得分榜 意甲积分榜 英超直播 亚冠 西甲直播 中超 郑开马拉松 中国女足 冬奥会 火箭直播 塞维利亚 魔术大胜鹈鹕 李慕豪 母其弥雅 波波维奇被驱逐 赵立新被点名批评 比特币暴涨 贾跃亭新车 李志四川巡演取消 中国13个新职业 多抽熊猫血 谣言 ofo否认破产传闻 高云翔董璇被起诉 布兰妮 精神治疗 三部门约谈马蜂窝 皇马不敌瓦伦西亚 父母爱情编剧去世 西昌市降半旗志哀 沪指收复3200点 绿光森林 翻拍 库里戴隐形眼镜 辱华主持人辞职 梁静茹在线打假 美国航空系统瘫痪 都挺好屋主住院 央视女主播家产案 全球第一创投人 救火英雄生前影像 向佐郭碧婷见干爹 故宫天灯复原品 RoyKim接受调查 王菊蕾哈娜合影 西昌4月4日哀悼日 社保基金减持交行 公务员可提前退休 圣彼得堡军校爆炸 纽约市拟征拥堵费 凉山火灾30名遇难 柯南令和福尔摩斯 威少超级三双 英超第二支降级队 章子怡吐槽女儿 林丹逆转晋级 刘梦洁被撤销学位 ONER组合否认解散 凉山火灾全部扑灭 杨宗纬怒怼男主播 美2033年登陆火星 英雄遗体运抵西昌 叶童出演许仙母亲 梅西补时连造两球 赵立新发不当言论 最右App全网下架 格力筹划股权转让 梁静茹在线打假 瑞幸抵押咖啡机 云南在建隧道爆炸 牺牲消防员朋友圈 两代张无忌同框 凉山火灾30名遇难 凉山火灾牺牲名单 美国航空系统瘫痪 赵立新发不当言论 韩火火偶遇吴世勋 黄晓明名誉案胜诉 保姆纵火案和解 都挺好屋主住院 吴秀波近照曝光 毛晓彤遭生父监视 刘诗诗预产期曝光 翟天临辛芷蕾 北京义务教育入学 武磊获杰出人物奖 霸州燃气罐爆燃 新加坡航空停飞 孙杨1500米夺冠 扑火队员申评烈士 王昱珩回应上热搜 日本现新年号令和 归化球员唱国歌 章子怡吐槽女儿 英第二轮脱欧投票 公务员可提前退休 地球熄灯一小时 百度丘比特上线 江苏昆山工厂燃爆 找到四川失联人员 吴千语回应分手 张靓颖乱入杨千嬅 五一火车票开售 阿信骗粉丝有孩子 市民悼念扑火英雄 冯潇霆回应被嘘 考辛斯驱逐出场 秦岚古巨基走秀 王菲谢霆锋合体 张国荣逝世16周年 全国企业信用信息公示系统 袁立婚房疑曝光 河南一幼师投毒 巴萨vs西班牙人 斯洛伐克女总统 梅西梅开二度 勇士裁判报告